Opinion Piece By Donna Westfall – April 20, 2018 – Board of Supervisors (BOS), Chairman Chris Howard probably bowed to public pressure and the letter from the local Crescent City-Del Norte County Taxpayers Association demanding he put on the agenda a discussion of SB 54.
It’s there! Agenda Item #15 is on the April 24th Board of Supervisors meeting:
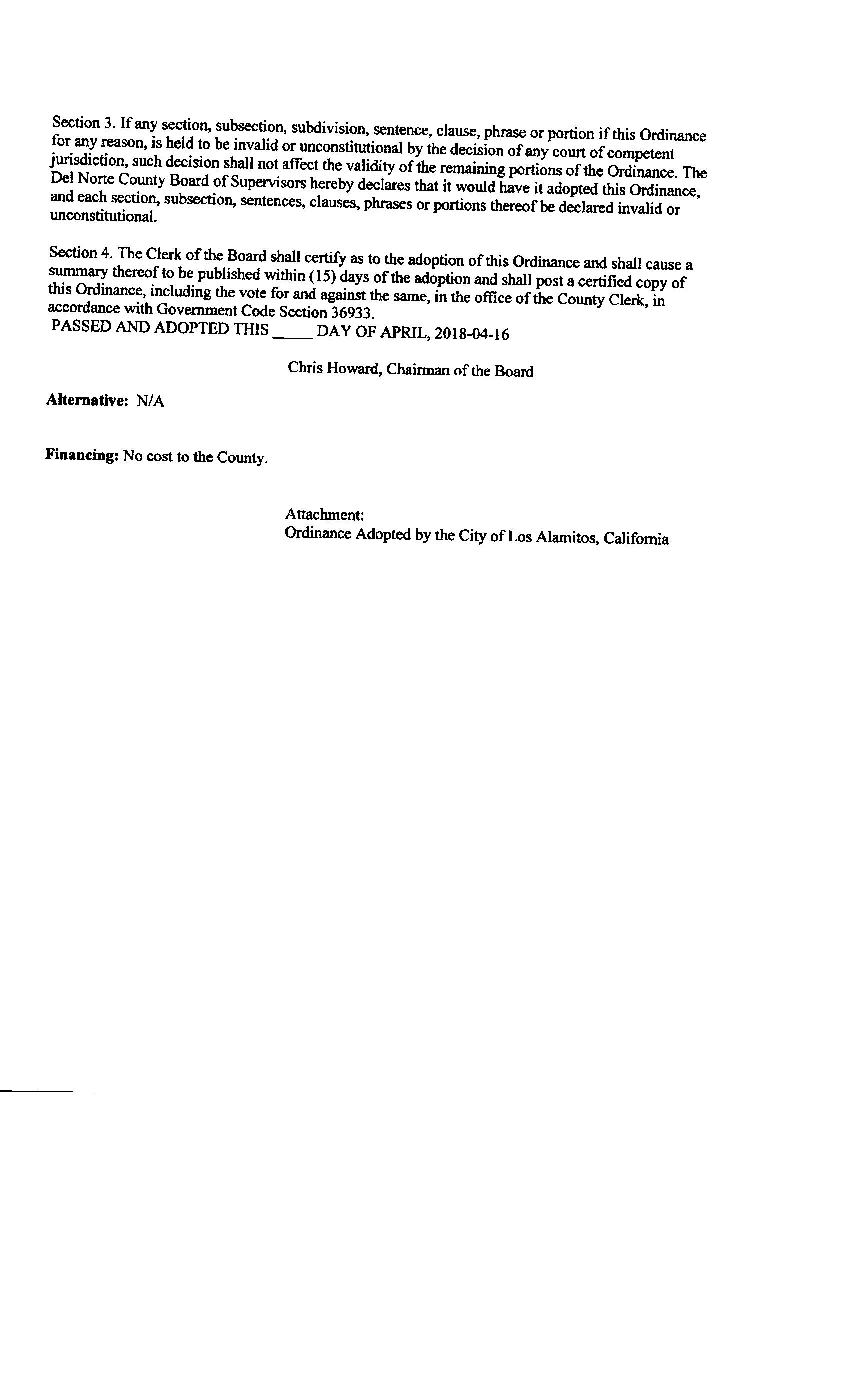
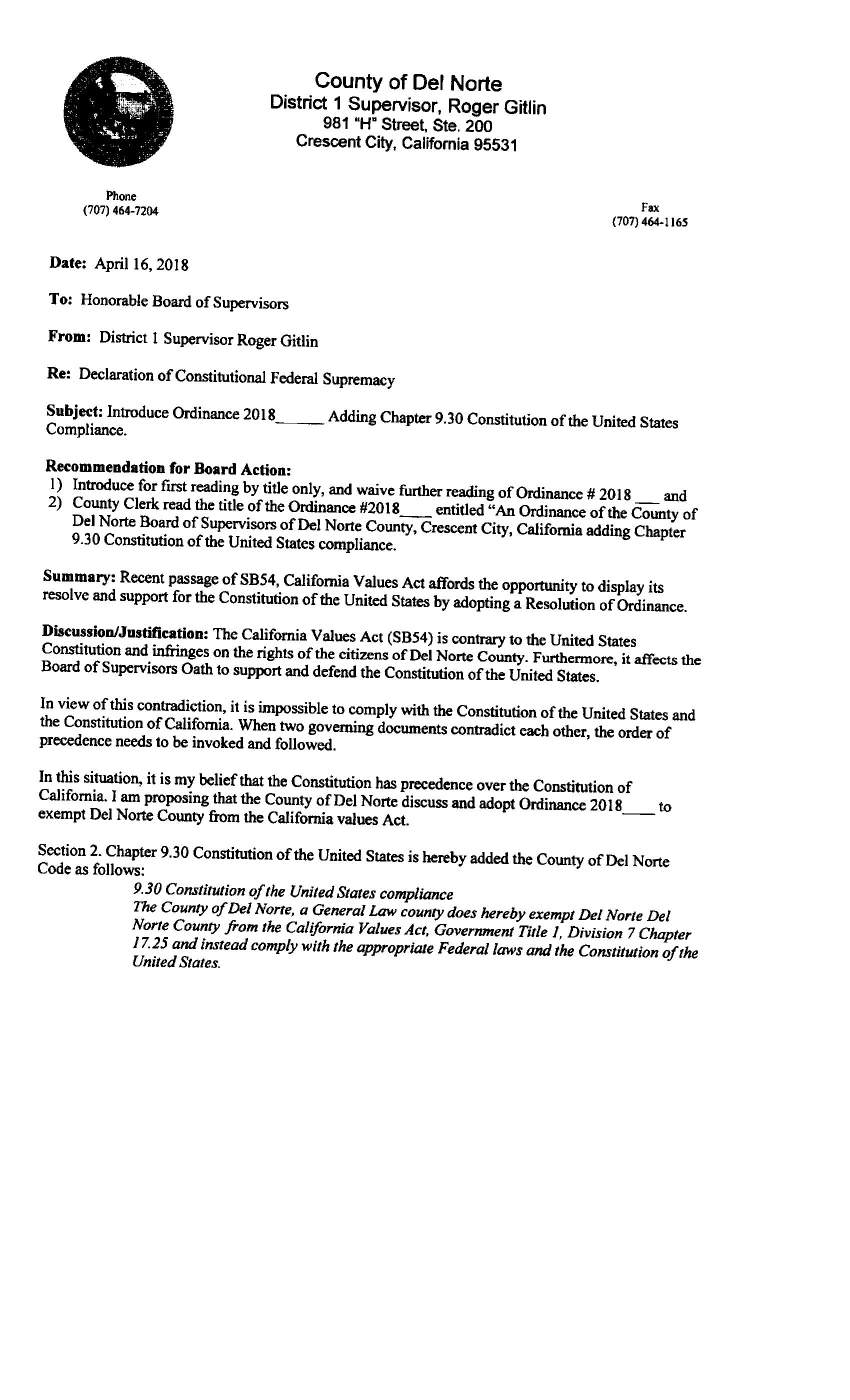
15. Review and discuss adding the Board Report and Ordinance submitted by Supervisor Roger Gitlin or any action in regard to the California Values Act (SB 54) to a future agenda as requested by Supervisor Gitlin.**
Will Del Norte County join these other cities and counties now either opting out or passing resolution, ordinances, or filing an amicus brief (friend of the court) in support of US Attorney General, Jeff Session’s lawsuit against the State of California, Governor Brown and Calif. AG, Xavier Becerra?
Los Alamitos City was the first.
Mission Viejo
Yorba Linda
Aliso Viejo
Fountain Valley
San Juan Capistrano
City of Orange
County of Orange
Shasta County
Tehama County
Kern County
Siskiyou County
Newport Beach
Westminster
Escondido
San Diego County
and Huntington Beach
Click on the pages below to enlarge them for easier reading. These are the documents that accompany Agenda Item #15. It is the position of this paper that SB 54 is illegal and therefore, we are going to put our money where our mouth is and print up signs that state, “NO ON SANCTUARY STATE.”
Let us know if you want one.
Now a word to Sups. Howard, Cowan and Hemmingsen. In the past, two of you voted “NO”, and Hemmingsen abstained. Last word, Hemmingsen was going to wait for the courts to decide. This is where I get to the point of wanting to scream out obscenities and call names. Hemmingsen reminds me of the Scare Crow in “The Wizard of Oz…. I haven’t got a brain.”
But, being that this is mostly a civilized publication, I’ll refrain from the name calling and bad language and just hope that those three keep an open mind come Tuesday. April 24th. 10:30 am.




You guys just did not bring it. The support and applause was for the Values Act. If you believe in something, show up. Or just move to Idaho, they have you covered. Never thought I would have the chance to tell conservatives what they often tell me. Don’t like it, move to a more conservative state like Idaho or Saudi Arabia.
Many of us have already bought homes outside the state, and are readying to move. We are thankful for the uninformed who buy real-estate here in California, and specifically Del Norte county. In the next few years, liberals will get to feel the full force of their incompetence – as productive citizens (some call the Conservatives) will be too few to support the lay-about tax guzzling Democrats. Watching from afar as the state, county, and city implode will be comforting.
Let’s get back to the very root of this problem (and my stance):
If someone tresspasses onto private proverty, that is a criminal offense.
If someone tresspasses into the country illegally (undocumented), that is also a criminal offense.
Harboring a fugitive from Justice is a criminal offense.
Various municipal governments are in fact bordering on criminal conduct by withholding information from federal agencies. Suspected illegals if arrested are treated in the very same way as anyone else in regard to the local and state laws: They get fingerprinted and photos taken to identify an individual they have in custody during the booking process.
That information is shared in real-time with the NCIC at booking. Are local municipality city PD’s, Sheriff departments not doing normal procedures for those suspected of being illegal immigrants when booking them for any criminal charges? If so, that spells a lot of trouble for law enforcement officials and means that illegals are given the green light for criminal activities.
I would think that ICE can work with other teams within Homeland Security, the FBI and other agencies to identify instances where a person was scanned into NCIC and yet local agencies failed share information about suspected illegals with ICE. If that happens, the FBI and US Marshals needs to criminally charge those officers.
Go ahead, call me a racist.
Tom, spoken like a true liberal. I suppose it is to much to ask of you to think that it might just be because California has chosen to act like a lawless hooligan state with its sanctuary state policies that ICE is forced “to act like the gestapo” instead of picking up serious criminal offenders who also entered this country illegally at the local jails. So much for social justice. Is it a small wonder that other lesser criminals that may be simply illegal immigrants get swept up when ICE is trying to enforce the law. Get real man. By supporting illegal immigration you are tacitly supporting “BIG CORPORATIONS”, billions of dollars in tax supported entitlement programs for illegal immigrants, and insuring that the poorest among the legal residents of this country have an even tougher lot in life. So Mr. liberal, go ahead and protest. But, think, if that is possible, about all the damage that you are doing while you protest. Must be fun to think that you are compassionate, yet how little you really are doing when it comes to solving just one of the many problems faced in this country. Until you figure out how much chaos has been created in the last 100 plus years by Leftist politics for no gain, you continue to be part of the problem. Get a real lesson in history and see just how your politics stack up. I think that your comment is despicable and humanity will reemerge when liberals start realizing just how foolish leftist political activism has become. I don’t know how clear I can make it for liberals, “Socialism is a loser!”
If “socialism is a loser” what is your opinion of Medicare, of municipally-owned water systems, of state-owned highway networks, and all of the other benefits that come from government programs and services?
Couldn’t have picked a bigger list of losers if you tried. California’s is the cream of the loser’s crop and the closest to a socialist state. Water system built in the sixties for twenty million people. State currently is closing twice that in population and water system is on life support. Medicare is close to collapsing due to cost and is about what you would expect from a third world country. California wants to go single payer what a joke. State highway system in shambles and no money to fix most of it. High speed rail to no where? Government programs so inefficient and wasteful, yet all the California leftists care about is the appearance of government benefice and not reducing problems. The great socialist state of California is the laughing stock of the country. Most people in poverty of any state and home to the leftist elite. What a combination and California leftist leadership will only double down until the entire middle class of the state leaves in disgust. I could go on and on about just California’s “government programs and services” that spend billions of dollars for absolutely no benefit to the people in this state. Get a grip j, I don’t know why I even bother responding to you. There is a nice progressive safe space purchased by some government program where socialists can go in like maybe Venezuela with your name on it. Maybe living the life of a socialist will clue you in? Good Luck!
I don’t know what socialism is so I googled what countries have it… then I googled the countries with highest quality of life and all the ones above us are on the socialist list! Like Denmark, Finland, Ireland, etc., you can google it yourself. So whatever socialism is we should do it!
So you say you are moving to Denmark, Finland, or Ireland. Nice try. You might be just a little surprised by the “quality of life”. Been to all three countries and can’t say any of them are places I would want to live. Great to visit, all are incredibly expensive places to live and visit. Hope you have a boat load of money. Guess Googling doesn’t really tell the whole story.
Joseph, now for the good part. Neither Denmark, Finland, or Ireland are considered “socialist countries”. They may have been ruled by socialist leaning parties for periods of time, but all three are not considered socialist countries by any honest standard. You will find some references by left leaning publications that certain elements of Finnish, Irish, and Danish societal practices appear to be socialist, but all three have capitalist economies. The United States has socialist elements like health care, and public education to name a couple, but only to a degree and hardly to be considered very successful. In order for those three Countries to have a few elements of socialism, the tax rates in all three Countries are very high and the choices are government controlled and very limited. I am not finding anything referring to highest quality of life for any of the three countries, just references to most socialist elements. If you will note that there is a significant drop off between the countries you mention with regard to socialist elements and the more commonly regarded socialist countries, the former Soviet Union and China. The other thing you should be aware of is no country has been able to sustain a true socialist government for more than seventy five years. China has had in recent years to turn away from a socialist economy to a form of Capitalism. There is a long list of countries that were formerly declared socialist run and equally short lived. Even semi socialist countries like Greece, Venezuela, and Portugal are pretty grim places to live. There are other countries in the world that have socialist components in their respective countries, but none are particularly successful or don’t require huge amounts of money and strict limits on services. I guess when it comes to socialist countries you just have to pick what poison you want to take to get that “high quality of life”.
Those may be good points who knows… Too bad nobody ever changes their mind from an internet discussion!… 😉
How old is Samuel Strait? Socialist nations fail because we want their oil more than they do and we are bigger and stronger (in most cases of old). We stole everything, trees, gold, land, lives, slaves, everything. And now we can tell the world that the secret to our success is greed. And the reason that the weak perish is that the greedy is still hungry. Syria is a socialist state, so was Iraq and Libya. Capitalism means you need capital, the one with the money wins, go ahead and raise the stakes until the competitor is out of resources and has to fold. If we had invested into education, you all would have something to do with the vocabulary surrounding our systems. We live in a greedyism vs other nations that invest for the betterment of their people only to find the US will backhand them in their economic interest. Capitalism wins because it backs its currency in weaponry rather than value. Capitalism is mutually assured destruction. The devil is the creator of our economic systems and the righteous will not touch it, but it does cost them (war). We live on a nuclear stock pile that is sure to be humanities end, but we are gods chosen ones I am sure.
Mel,Mel,Mel, Syria,Libya, and Iraq were all totalitarian dictatorships and definitely not socialist countries in any way. The fact that a country has or hasn’t got oil has nothing to do with whether they are a socialist country or not. I’m not sure how you equate Capitalism with greed as that is a human condition. There are greedy socialist’s as well as greedy Capitalists. As far as war and weaponry, all forms of political governance use war and weaponry to acquire resources when they have outrun their own resources. Socialist governments are more likely to use weapons and warfare to acquire resources because socialism is very rarely economically viable for any length of time. When they can’t resort to war to acquire more resources and out strip their own, they crash and burn. It is inevitable. While I am not fond of any kind of government, I recognize the need for limited government, something that a socialist government will never be. I get the impression from your comment that it is not all that well thought out and is full of false exposition. Investing in education will only get you so far, you still have to do some thing with it. A government that seeks to better its population by calling what it “gives its population for its betterment” is often smoke and mirrors. Some one ultimately has to pay for that betterment, and it will not be that government. People who support socialism never understand that governments do not have money to pay for that benevolence, only people do.
Yes, because Cuba constantly falls back on war for resources? Because Israel lost their land to Syria (other way around, right?). Your argument is there, if a different history would arise to make a foundation under your castles in the sky. The truth behind your words are all that is missing, Sam.
In some cultures they would send terminal elders on to the ice to drift away, once they were of no more use to next generation and started to drag them down. We at least need to limit the voting age to under 50 if we ever are to get past our elders attempts at decency.
I guess since Mel is either an internet troll or someone who failed to take advantage of the trillions of dollars spent on public schools here in America, we can move on to dispel his further fantasies that Cuba that warm and fuzzy pretense of a Leninist/Marxist government has not used its military to acquire resources. But wait, I guess the 1976 military adventure in Angola doesn’t count, where for the next sixteen years Cuba’s military controlled Angola for, drum roll, oil and mineral resources. Up to that point Castro depended on resources from the Soviet Union until that country began it decline to oblivion. After 1991 Fidel shifted his dependence to China until his untimely death. Cuba never really was a functional socialist or communist country, just a country run by a dictator. Guess you got that one wrong too Mel. As to your issue with Syria and the Golan Heights, I guess if you attack your neighbor as Syria and Egypt did in 1967 and you get your butt waxed, you just might stand to lose a little territory. Kind of what happens to countries who are the aggressors and end up losing. Bottom line is I guess we should keep letting those people 50 plus years old continue to vote so you younger folk can get on with your current activity of choice, eating Tide pods.
Cuba was fighting in Angola for socialism against US/South African (always picking allies of questionable character) interference. This is why they call us capitalist pigs, because we are pigs that are greedy and over consuming. We are in hundreds of bases in hundreds of nations and put more of our own in prison than any other nation, while paying more for health care than any other nation, we have a quality of health care that ranks near Cuba, we are funding nearly 100 terrorist organizations from 90 nations in Syria and all of this is because of our confusion over the merits of free people vs free markets and right vs wrong.
Sorry Mel you’ve gotten too boring and predictable. Throw a bunch of nonsense out and never come back with anything new. Hope you have a great life….in Cuba, or what ever dictator’s country you chose to live in.
I think that to support Pence, Sessions or Trump in this vindictive attempt is just downright despicable. Until ICE stops acting like the gestapo we need to protest. I know that living where I do I’m in the minority but please people let some humanity reemerge.
Thank you, Donna for posting this very important and timely issue. I hope to see a huge turnout at the Board of Supervisors chambers. What ever your opinion, in support or in opposition, your voice should be heard and respected.
Roger, it is certainly unfortunate that you do not receive the same kind of tolerance when you voice your opinion that is expected by some of those that attended this Board of Supervisor’s meeting. While Chair Howard tried to imply that the SB54 supporters were civilized, I witnessed an entirely different sort of behavior. I think you will find my impression of the public discussion some what at odds with Chair Howard’s. What a surprise! I see very little has changed in the past year and a few months. Stagnation and place holding in rare form. Some one might wish to confirm that Supervisor Howard really does know one end of a cow from the other. I know that Supervisor Hemmingsen would probably abstain if asked and Supervisor Cowan would most likely argue with herself after researching the subject on the internet. Not to mention being firmly engaged in flipping her hair and starring vacuously up towards the clock. Too much to ask of her to pay attention when some one other than herself is presenting. Hopefully things will change next year, and the County might actually have a BOS that is beneficial to its citizens. Of course the progressive loons will no doubt continue to remain a part of the carnival of expression that regularly populates BOS meetings. I commend you, Roger, for your tolerance.
Our progressive flock of loons is getting bigger all the time! Squawk!!